12 νέα κρούσματα στο Ηράκλειο
Η σημερινή ανακοίνωση (4/6/2021) του ΕΟΔΥ για την πορεία της πανδημίας στη χώρα μας
Τα νέα εργαστηριακά επιβεβαιωμένα κρούσματα της νόσου που καταγράφηκαν τις τελευταίες 24 ώρες είναι 1.112, εκ των οποίων
6 εντοπίστηκαν κατόπιν ελέγχων στις πύλες εισόδου της χώρας. Ο συνολικός αριθμός των κρουσμάτων ανέρχεται σε 407.857
(ημερήσια μεταβολή +0.3%), εκ των οποίων 51.2% άνδρες.
1 Με βάση τα επιβεβαιωμένα κρούσματα των τελευταίων 7 ημερών, 35
θεωρούνται σχετιζόμενα με ταξίδι από το εξωτερικό και 1.823 είναι σχετιζόμενα με ήδη γνωστό κρούσμα.
Ημερήσια εξέλιξη της πανδημίας: Η ημερήσια κατανομή των επιβεβαιωμένων κρουσμάτων είναι η ακόλουθη (η γραμμή παριστάνει
την συνολική, αθροιστική κατανομή των κρουσμάτων).
Οι νέοι θάνατοι ασθενών με COVID-19 είναι 34, ενώ από την έναρξη της επιδημίας έχουν καταγραφεί συνολικά 12.218 θάνατοι. Το 95.1% είχε
υποκείμενο νόσημα ή/και ηλικία 70 ετών και άνω.
Ο αριθμός των ασθενών που νοσηλεύονται διασωληνωμένοι είναι 445 (61.9% άνδρες). Η διάμεση ηλικία τους είναι 67 έτη. To 87.2% έχει
υποκείμενο νόσημα ή/και ηλικία 70 ετών και άνω. Από την αρχή της πανδημίας έχουν εξέλθει από τις ΜΕΘ 2.491 ασθενείς. Οι εισαγωγές2
νέων
ασθενών Covid-19 στα νοσοκομεία της επικράτειας είναι 151 (ημερήσια μεταβολή +4.14%). Ο μέσος όρος εισαγωγών του επταημέρου είναι 174
ασθενείς.Η διάμεση ηλικία των κρουσμάτων είναι 43 έτη (εύρος 0.2 έως 106 έτη), ενώ η διάμεση ηλικία των θανόντων είναι 78 έτη (εύρος 0.2
έως 106 έτη)
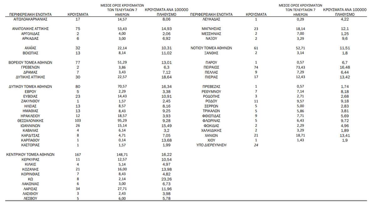
Που εντοπίζονται τα νέα κρούσματα

