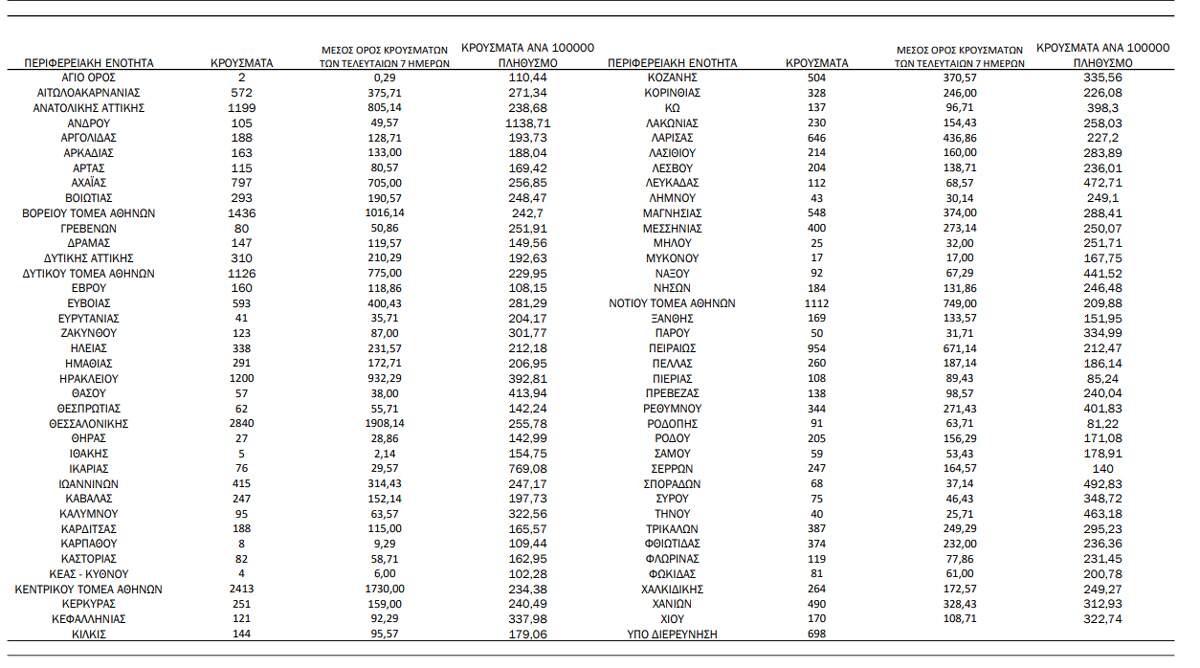
1.200 νέα κρούσματα στο Ηράκλειο
Η σημερινή ανακοίνωση (15/3/2022) του ΕΟΔΥ για την πορεία της πανδημίας στη χώρα μας
Τα νέα εργαστηριακά επιβεβαιωμένα κρούσματα της νόσου που καταγράφηκαν τις τελευταίες 24 ώρες είναι 26.536, εκ των οποίων 27 εντοπίστηκαν κατόπιν ελέγχων στις πύλες εισόδου της χώρας. Ο συνολικός αριθμός των κρουσμάτων ανέρχεται σε 2.684.916 (ημερήσια μεταβολή +1.0%), εκ των οποίων 49.3% άνδρες. Με βάση τα επιβεβαιωμένα κρούσματα των τελευταίων 7 ημερών, 201 θεωρούνται σχετιζόμενα με ταξίδι από το εξωτερικό και 1.391 είναι σχετιζόμενα με ήδη γνωστό κρούσμα.
Οι νέοι θάνατοι ασθενών με COVID-19 είναι 50, ενώ από την έναρξη της επιδημίας έχουν καταγραφεί συνολικά 26.686 θάνατοι. Το 95.2% είχε υποκείμενο νόσημα ή/και ηλικία 70 ετών και άνω.
Ο αριθμός των ασθενών που νοσηλεύονται διασωληνωμένοι είναι 358 (65.4% άνδρες). Η διάμεση ηλικία τους είναι 69 έτη. To 90.2% έχει υποκείμενο νόσημα ή/και ηλικία 70 ετών και άνω. Μεταξύ των ασθενών που νοσηλεύονται διασωληνωμένοι, 234 (65.36%) είναι ανεμβολίαστοι ή μερικώς εμβολιασμένοι και 124 (34.64%) είναι πλήρως εμβολιασμένοι. Από την αρχή της πανδημίας έχουν εξέλθει από τις ΜΕΘ 4.365 ασθενείς.
Οι εισαγωγές νέων ασθενών Covid-19 στα νοσοκομεία της επικράτειας είναι 296 (ημερήσια μεταβολή +22.31%). Ο μέσος όρος εισαγωγών του επταημέρου είναι 291 ασθενείς.Η διάμεση ηλικία των κρουσμάτων είναι 35 έτη (εύρος 0.2 έως 108 έτη), ενώ η διάμεση ηλικία των θανόντων είναι 79 έτη (εύρος 0.2 έως 106 έτη).
Που εντοπίζονται τα νέα κρούσματα

